综合爱爱网|成人免费黄色大片|被强行糟蹋bd中文字幕|日本男人天堂,风筝在线观看西瓜电视剧全集,飓风电影在线观看完整版,欧美精品在线一区

Current Location: HOME >> PRODUCTS >>
PRODUCTS
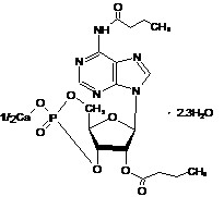
N6,2’-O-Dibutyryladenosine 3’,5’-cyclic monophosphate Calcium Salt

Product Name:  Calcium  Dibutyacyladenosine  Cyclophosphate;

N-(1-Oxobutyl)adenosine cyclic 3’,5’-(hydrogen phosphate) 2’- butano

-ate Calcium salt;N6,2’-O-dibutyryl cAMP Calcium salt; DBcAMP- Ca

Structure

Molecular Formula:  C18H23N5O8P •1/2Ca•2.3H2O

Molecular Weight:   529.9

CAS Number:       ----

NMPA  approval No.  H20066880

National Drug standards   YBH21242006  

TEST

CP

Results

Color & Appearance

Off white to faint yellow powder

Conforms

Water content

NMT 7.0 %

5.0 %

Assay ( HPLC )

NLT 98.0 %

98.5%

Impurities ( total )

NMT 2.0 %

1.8 %

Cyclic AMP  

NMT 0.4 %  

0.06%

N6-MBC ( N6-Monobutyryladenosine 3’:5’-cyclic momophosphate calcium salt )

 

NMT 0.4 %     

0.16%

2’-O-MBC ( 2’-O-Monobutyryladenosine 3’:5’-cyclic momophosphate calcium salt)

 

NMT 0.9 %  

0.77 %

Unknown  impurities

(individual)

NMT 0.3 %

0.16 %

Package: 1kg

Storage:Keep dry, store at temperature below 20℃.

< BACK >

Copyright?(C)?2017,Hunan Zhongqi Pharmaceutical Co., Ltd. All Rights Reserved. Supported by  ChemNet ChinaChemNet Toocle Copyright Notice